
Tabella Assegno Unico 2026 PDF: Tutti Nuovi Importi e Nuove Maggiorazioni – Circolare Inps
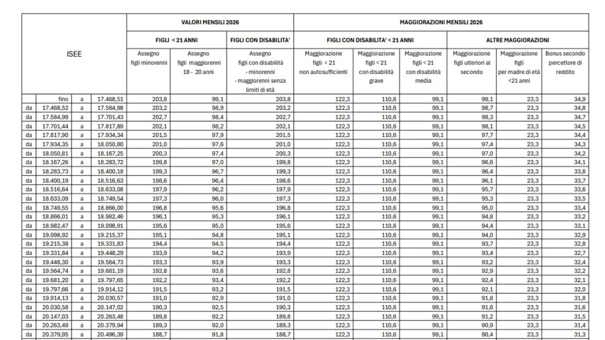
L’Assegno Unico 2026 (AUU), come ogni anno, sarà aggiornato dall’INPS in base all’aumento del costo della vita, cioè all’indice dei prezzi al consumo calcolato…
Read MoreLatest Articles

Ecco quando viene pagata la NASpI di Febbraio 2026 con Aumento: tutte le Nuove date INPS
Febbraio 3, 2026
View Article
Conguaglio Busta Paga Febbraio 2026: Ecco Tutti Aumenti e Tutte le Novità su IRPEF 440 euro e Stipendi
Febbraio 3, 2026
View Article
Aumento Pensione Minima 2026: 260 all’anno per Invalidi Minimi e Maggiorazioni Sociali
Febbraio 3, 2026
View Article
Carta Solidale “Dedicata a Te” 2025: Al via le Verifiche Online – Ecco il LINK per controllare se hai diritto o no
Febbraio 3, 2026
View Article
Tutti i bonus 2026 per chi ha un ISEE fino a 15.000 euro: luce, gas, Carta “Dedicata a te” e nuovi nati
Febbraio 3, 2026
View Article
Pensione di Febbraio 2026 Inps: Ecco cosa cambia nel Cedolino in Pagamento il 02 febbraio
Febbraio 3, 2026
View Article





